请输入关键字
胡晓梅团队创新工程取得新成果:影响真性红细胞增多症细胞增殖与预后的代谢生物标志物

来源:西苑医院 时间:2022-10-27

真性红细胞增多症(polycythemia vera,PV)是一种造血干细胞恶性克隆性骨髓增殖性肿瘤(myeloproliferative neoplasm,MPN),以红细胞增多为主要特点,并伴有不同程度的骨髓粒系、巨核系增生。

细胞代谢异常是近年来发现的肿瘤细胞恶性增殖新的特征,其几乎参加了肿瘤细胞从增殖、转移到凋亡的全部生理过程。PV作为BCR/ABL阴性的MPN中的一种,是恶性肿瘤性疾病,JAK2突变是其发病的确切因素之一。

胡晓梅团队旨在分析PV患者与健康对照组的代谢差异,探究其与细胞增殖的关系,并筛选预后相关代谢生物标志物。

首先,运用液相色谱-质谱技术对32名PV患者和20名健康对照的外周血血清的代谢特征进行分析,共筛选出33种内源性代谢物被初步确定为PV的潜在生物标志物。对其进行代谢通路富集分析,结果表明有9种重要的代谢通路与PV相关,为:D-谷氨酰胺和 D-谷氨酸代谢,鞘脂代谢等(图1)。

图1:PV患者潜在生物标志代谢通路富集分析。1. D-谷氨酰胺和 D-谷氨酸代谢. 2. 鞘脂代谢. 3. 丙酮酸代谢. 4. 丙氨酸、天冬氨酸和谷氨酸代谢. 5. 精氨酸和脯氨酸代谢. 6. 色氨酸代谢. 7. 赖氨酸降解. 8. 精氨酸生物合成. 9. 糖酵解/糖异生.

我们发现,与JAK2未突变的PV患者相比,JAK2突变的患者PLT及HCT水平明显升高,而且JAK2突变负荷与WBC及PLT水平呈显著正相关。

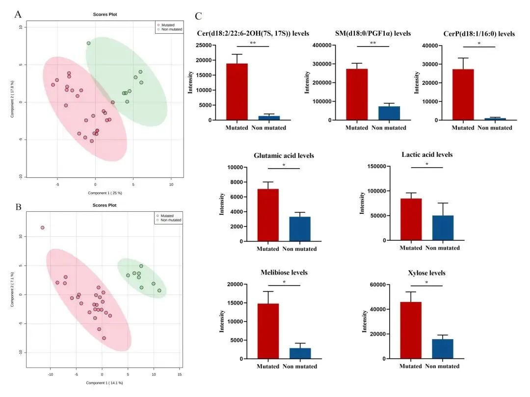
为了探究JAK2相关内源性代谢物与血细胞计数的相关性,我们将PV患者分为JAK2突变和未突变组,筛选出了Cer(d18:2/22:6-2OH(7S, 17S))等7种代谢物水平在JAK2突变组显著升高(图2),为与JAK2相关内源性代谢物。其中,有2种与JAK2突变负荷存在正相关关系,分别为:Cer(d18:2/22:6-2OH(7S,17S)) , SM(d18:0/PGF1α)。并且,Cer(d18:2/22:6-2OH(7S, 17S)) 及SM(d18:0/PGF1α)与血细胞计数密切相关,可能参与了PV患者外周血细胞的增殖。

图2:根据JAK2突变状态的PV患者的特异性代谢特征。(A、B) 正、负离子模式下JAK2突变组与JAK2未突变组患者的PLS-DA得分图。(C) 与JAK2未突变的患者相比,JAK2突变患者7种化合物的水平。

为了筛选 PV患者预后相关的潜在代谢生物标志物,将PV患者分为低危组和中高危组。与低危组相比,中高危组33种代谢物中Cer(d18:2/22:6-2OH(7S, 17S))等8种代谢物水平显著升高(图3A)。通过受试者工作特征曲线 (ROC) 及二元逻辑回归分析发现了一组包含4种内源性代谢物的潜在生物标志物的 AUC为0.952(图3B)。因此,Cer(d18:2/22:6-2OH(7S, 17S)),SM(d18:0/PGF1α),CerP(d18:1/16:0),Octadec-13-enoylcarnitine水平的升高,可作为PV患者不良预后的潜在代谢生物标志物。

图3:PV患者预后相关潜在生物标志物。(A) 与低危患者相比,中高危患者8种内源性标志物的水平。(B) 4种生物标志物组合的ROC曲线分析。

胡晓梅团队的该项研究填补了PV代谢特征的空白,分析了JAK2突变相关的代谢物及其与血细胞计数的关系,并通过风险分层筛选了与PV患者预后相关的代谢物,为PV的发病机制提供了新的见解,评估患者预后提供了参考。

研究成果于2022年10月以题为“Metabolic Biomarkers Affecting Cell ProliferationPrognosis in Polycythemia Vera”发表在 《Cancers》(IF=6.575,Q1区)杂志。该研究得到中国中医科学院科技创新工程血液病学重大攻关项目资助。

第一作者王子卿,北京中医药大学2020级博士研究生(导师为胡晓梅主任医师)。

第一作者王子卿(第1排左一)与通讯作者胡晓梅(第1排中)合影

Wang Z, Lv Y, Yang E, Li Y, Wang D, Hu G, Li Y, Wang M, Liu W, Sun M*, Hu X*. Metabolic Biomarkers Affecting Cell ProliferationPrognosis in Polycythemia Vera. Cancers. 2022; 14(19):4913. https://doi.org/10.3390/cancers14194913.